Technologický lexikon společnosti Petermann

Optimální přizpůsobení krystalů integrovaným obvodům

Praktický průvodce pro vývojáře elektroniky

Aby krystalový oscilátor (oscilační krystal v oscilačním stupni integrovaného obvodu) kmital stabilně, přesně a spolehlivě, musí být použitý krystal optimálně přizpůsoben požadavkům příslušného integrovaného obvodu.

Rozhodujícími faktory jsou zde kapacity zátěže, přechodové podmínky, úroveň buzení (křemenný proud) a faktory uspořádání na desce plošných spojů.

Tento článek kompaktně a prakticky vysvětluje, jak správně naladit krystalový generátor hodin a které chyby se v praxi vyskytují obzvlášť často.

A. Proč je třeba ladit krystaly a integrované obvody?

Krystaly jsou součástky určující frekvenci, jejichž přesnost je velmi závislá na jejich elektrickém prostředí. Výrobci mikrokontrolérů obvykle specifikují

  • požadovanou kapacitu zátěže (CL)
  • přípustnou úroveň buzení
  • požadovaný čas spuštění
  • topologie oscilátoru a vnitřní zesílení

Pouze pokud tyto parametry odpovídají krystalu, bude oscilátor pracovat v rámci svých tolerancí a splní požadavky na časování, jako jsou bezdrátové sítě, USB, CAN, Ethernet, přenosové rychlosti UART atd.

B. Úloha nosnosti (CL)

Zátěžová kapacita určuje pracovní bod oscilační frekvence. Každý krystal je trimován na určitou CL (např. 8 pF, 12 pF, 16 pF).

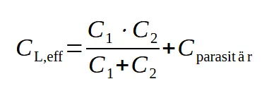
Efektivní kapacita zátěže vyplývá z:

Typické parazitní kapacity:

  • Vývody IC: 1-3 pF
  • Stopy: 0,5-2 pF
  • Pájecí plošky: 0,5-1 pF

Pokud je CL zvoleno příliš malé: Frekvence se zvyšuje → možná chyba časování.
Pokud je CL zvoleno příliš velké: Frekvence se snižuje a oscilátor může špatně startovat.

C. Dimenzování vnějších kapacit

Vnější kapacity C1 a C2 jsou zvoleny tak, aby:

Typické směrné hodnoty:

Křemen CL

Počáteční hodnota C1/C2

6 pF12-15 pF
8 pF15-18 pF
12,5 pF18-20 pF

Přesné nastavení se často provádí pomocí měření nebo doporučení výrobce.

Příklad výpočtu:

Otázka: "Jaké externí kapacity musím připojit ke krystalu CL 12pF?".

Na základě výše uvedeného vzorce se vypočítá následující:

182 děleno 36 plus 2pF = 18 pF (CX1 a CX2 by měly mít každá 18pF na GND).

Měření našich oscilačních krystalů v obvodech zákazníků v obvodech ukázala jako velmi spolehlivý průměrný parametr bludnou kapacitu(C parasitic) 2pF.

Existují však i výrobci integrovaných obvodů, kteří ve svých datových listech popisují kapacitní zatížení XIN/XOUT až 7pF. Proto je důležité si před výpočtem kapacit obvodu pro krystalový oscilátor znovu přečíst datový list, abyste zjistili, jaká kapacitní zátěž může být pro XIN/XOUT uvedena.

Pokud má být krystalový oscilátor použit v aplikaci s vyšší dlouhodobou přesností, například v bezdrátových aplikacích pro pásmo ISM, doporučujeme použít kapacity obvodu s tolerancí 1 %.

D. Úroveň pohonu a ztráta výkonu

Úroveň pohonu (obvykle 1-200 µW) udává, jaký výkon křemen trvale snese.

Příliš vysoká úroveň pohonu vede k

  • zvýšenému stárnutí a driftu
  • zvýšené frekvenční stabilitě
  • zvýšení sériového rezonančního odporu
  • poruchy způsobené prasklinami v křemenné destičce.

Příliš nízká úroveň pohonu způsobuje

  • nespolehlivé spouštění
  • Zvýšené hodnoty jitteru

Integrované obvody oscilátorů obvykle udávají typickou a maximální úroveň buzení; doporučuje se měření.

Vzhledem k tomu, že konstrukce rezonátorů pro námi dodávané krystaly SMD jsou vyvíjeny ve vlastní režii, můžeme dodávat také krystaly oscilátorů MHz s vysokou stabilitou úrovně pohonu v malých keramických pouzdrech. Miniaturní křemen s nízkým ESR řady SMD03025/4 do 500 µW nebo ultra-miniaturní MHz křemen řady SMD02016/4 do 400 µW.

E. Doba uvedení do provozu (čas spuštění)

Čas zahájení závisí na:

  • Zisk oscilátoru v integrovaném obvodu
  • ESR (ekvivalentní sériový odpor) křemíku
  • zatěžovací kapacitě křemenného oscilátoru
  • hodnotách kapacit vnějších obvodů
  • teplotě a napájecím napětí

Nadměrné hodnoty CL často výrazně prodlužují dobu náběhu → problematické pro nízkopříkonové MCU s cykly spánku.

F. ESR - podceňovaný parametr

Vliv ESR

  • přechodové chování a přechodovou stabilitu
  • Spotřeba energie
  • Přechodové chování při nízkých křemenných proudech

Mnoho integrovaných obvodů udává maximální ESR (např. 70 Ω). Pokud je křemen vyšší než tato hodnota, oscilátor se nemůže bezpečně spustit.

F.1: Proč mají stupně oscilátoru záporný vstupní odpor

V kapacitních Pierceových oscilátorech - zdaleka nejčastěji používané topologii v mikrokontrolérech - pracuje vnitřní měnič integrovaného obvodu v analogovém pracovním rozsahu, ve kterém se chová jako zesilovač se zápornou impedancí. Tento záporný vstupní odpor (-Rneg) je záměrný a zajišťuje, že:

  • krystal dostává energii z obvodu oscilátoru,
  • ztráty v krystalu (ESR) jsou kompenzovány,
  • oscilace rostou nezávisle a jsou stabilní.

Zjednodušeně řečeno, počáteční podmínka je

To znamená, že hodnota záporného vstupního odporu musí být větší než sériový odpor (ESR) krystalu.

Teprve pak dojde k čistému zesílení, které vede k oscilacím.

 

F.2: Vliv na bezpečnost přechodové odezvy

Pokud je hodnota záporného vstupního odporu příliš malá (tj. -Rneg je příliš slabý), dojde k následujícímu:

  • krystal obdrží příliš málo energie → pomalé kmitání nebo žádné kmitání.
  • oscilace se spustí až při vyšším napájecím napětí nebo teplotě
  • spuštění v provozních režimech s nízkým výkonem se stává nespolehlivým

Typická příčina:
Některé moderní MCU mají z důvodů účinnosti slabé oscilační zesilovače, což znamená, že -Rneg je menší než u starších generací IC. Zároveň mnoho konstrukcí pracuje s malými kapacitami zátěže nebo dlouhými stopami, což zvyšuje parazitní ztráty.

 

Otázka 3: Proč jsou krystaly s nízkým ESR obzvláště důležité?

ESR krystalu definuje jeho vnitřní ztráty. Nízké ESR znamená

  • nižší ztráty
  • nižší potřebné protizesílení
  • vysokou přechodovou stabilitu i u slabých oscilačních stupňů.
  • kratší dobu náběhu
  • stabilnější oscilace v závislosti na teplotě

Praktické doporučení:
- Používejte krystaly, jejichž ESR je výrazně nižší než maximální hodnota specifikovaná integrovaným obvodem.
- Pokud mikrokontrolér specifikuje maximální ESR například 70 Ω, ideální je krystal s ESR 30-50 Ω. To ponechává dostatečnou bezpečnostní rezervu proti případnému nízkému zápornému vstupnímu odporu oscilátoru.

 

F.4: Závěr k interakci -Rneg a ESR křemene

Spolehlivost přechodové odezvy v podstatě závisí na následujících faktorech:

  • vnitřní oscilátor poskytuje dostatečný záporný vstupní odpor,
  • krystal má dostatečně nízký ESR,
  • jsou správně dimenzovány zatěžovací kapacity.

Pouze při správném poměru -Rneg a ESR se krystal spustí rychle, spolehlivě a v celém rozsahu teplot a napětí.

G. Doporučení pro uspořádání

Pro krystaly platí následující:

  • Umístěte krystal + kondenzátory co nejblíže k IC.
  • Krátké, symetrické stopy
  • žádné signály nebo zemnící roviny přímo pod krystalem - snižuje parazitní kapacitu
  • Vyhrazený GND ostrůvek pro kondenzátory
  • Pokud je to možné, připojte krystal k GND (u našich oscilačních krystalů SMD v keramickém pouzdře lze pady č. 2 a 4 připojit k GND. Krystal však připojte k GND okamžitě a neměňte jej pro ladění frekvence v obvodu.

Tato opatření zlepšují EMC, jitter a chování při rozběhu.

H. Časté chyby v praxi

  • Nesprávná volba CL → Chyba frekvence
  • Krystal s příliš vysokým ESR → Nespouští se spolehlivě
  • Překročení úrovně pohonu → silný drift krystalu
  • Špatné uspořádání → Nestabilní oscilace
  • Nesprávné zohlednění parazitních kapacit

I. Závěr

Optimální sladění krystalu s integrovaným obvodem má zásadní význam pro spolehlivost oscilátoru a dlouhodobý provoz krystalového rezonátoru v obvodu (sladění úrovně napájení). Díky správné kapacitě zátěže, správné úrovni řízení, vhodnému ESR a dobrému uspořádání mohou vývojáři zajistit stabilní referenční kmitočet.

Technické vysvětlení oscilačních diagramů

Přehled

Uvedená schémata popisují fyzikální a elektrické mechanismy, které určují spouštění a provozní chování křemenného stabilizovaného Piercova oscilátoru. Zaměřují se zejména na

  • záporný vstupní odpor stupně oscilátoru,
  • ztrátový model křemenného krystalu (ESR),
  • startovací podmínky podle Barkhausenova kritéria,
  • časovou strukturu úrovně pohonu,
  • parazitních kapacitách a
  • ovlivňující faktory související s uspořádáním.

Tyto parametry jsou rozhodující pro bezpečnostní rezervu při zapnutí, dobu zapnutí, přesnost frekvence, jitter a dlouhodobou stabilitu.

1. oscilátor Pierce a záporný vstupní odpor

(obrázek vlevo nahoře)

Toto schéma znázorňuje klasický obvod Pierceova oscilátoru, který je integrován ve většině mikrokontrolérů a obvodů ASIC. Piercův oscilátor je založen na invertujícím zesilovači, který je nucen pracovat lineárně pomocí zpětné vazby přes křemenný krystal. V tomto pracovním bodě lze vstupní stupeň popsat malosignálovým ekvivalentním modelem se zápornou reálnou částí impedance.

Matematicky platí následující:

Tento záporný odpor představuje aktivní zdroj energie, který kompenzuje ztráty vznikající v křemeni.

Důležité vlastnosti -Rneg:

  • závisí na napájecím napětí, teplotě a změnách procesu.
  • silně ovlivněny vnitřními předpětími
  • záměrně sníženy v konstrukcích s nízkou spotřebou energie

Technický význam:

  • Vnitřní invertor integrovaného obvodu pracuje v lineárním rozsahu a chová se jako záporný rezistor (-Rₙₑg).
  • Tento záporný vstupní odpor kompenzuje ztráty křemenného krystalu (jeho ESR).
  • Kmitání se může zvýšit pouze v případě, že je k dispozici dostatečná záporná impedance.

Klíčové sdělení:
Oscilační stupeň dodává energii - krystal určuje frekvenci.

2. model nosnosti křemenného krystalu

(obrázek nahoře uprostřed)

Tento obrázek ukazuje křemenný krystal se dvěma externími kondenzátory C₁ a C₂.

Elektricky lze křemen popsat sériovým prvkem RLC(R1, L1,C1) s paralelní kapacitou obalu C0. Ekvivalentní sériový odpor ESR (Equivalent Series Resistance ) představuje mechanické ztráty oscilačního systému.

Vnější zapojení s C₁ a C₂ definuje efektivní kapacitu zátěže:

Odchylky od stanoveného CL vedou k

  • systematickému frekvenčnímu posunu
  • Změna fázového úhlu v regulační smyčce
  • snížené záporné odporové rezervě

Technický význam:

  • Efektivní kapacita zátěže určuje skutečnou pracovní frekvenci křemene.
  • C₁ a C₂ působí sériově s dalšími parazitními kapacitami.
  • Křemen je vždy specifikován pro definovanou kapacitu zátěže (např. 8 pF nebo 12 pF).

Klíčové sdělení:
Nesprávná kapacita zátěže vede k odchylkám frekvence a horšímu chování v přechodových stavech.

3. startovací stav a záporná odporová rezerva
(Podmínka spuštění: |Rₙₑg| > Rₑₛᵣ)

(obrázek vpravo nahoře)

Nutná počáteční podmínka vyplývá z Barkhausenova kritéria:

  • Zisk smyčky ≥ 1
  • Fázový posun = 0° (nebo 360°)

V impedančním modelu se to redukuje na:

U robustních konstrukcí se doporučuje bezpečnostní rezerva:

V automobilových aplikacích je vyžadováno následující:

Důsledky nedostatečné rezervy:

  • Prodloužená, nestabilní doba startu
  • Nezávislost na teplotě
  • Problémy se startováním při nízkém napájecím napětí

Tato jednoduchá nerovnost popisuje základní přechodový stav.

Technický význam:

  • Hodnota záporného vstupního odporu musí být větší než ESR křemenného krystalu.
  • Pokud tato podmínka není splněna, krystal nebude kmitat nebo bude kmitat pouze nespolehlivě.
  • Moderní nízkopříkonové MCU mají často menší -Rₙₑg než starší konstrukce.

Klíčové sdělení:
Pro spolehlivou oscilaci ve fázi oscilátoru jsou klíčové krystaly s nízkým ESR.

>Všechny námi dodávané oscilační krystaly jsou vybaveny exkluzivním LRT technologii (Low ESR Resonator Technology). Naše inovativní rezonanční krystaly LRT mají konstrukčně velmi nízké hodnoty ESR (při teplotě +25 °C a v odpovídajícím specifikovaném teplotním rozsahu), takže nabízejí konstruktérovi obvodu velmi vysokou přechodovou rezervu a v obvodu vždy a za všech okolností velmi rychle a bezpečně oscilují.

4. časová struktura úrovně pohonu

(diagram vlevo dole)

Tato křivka ukazuje nárůst amplitudy kmitání v průběhu času po zapnutí.

Po zapnutí začíná oscilátor v oblasti šumu. Amplituda oscilací roste exponenciálně v souladu s:

kde časová konstanta τ je určena rozdílem mezi záporným ziskem a ztrátami.

Limity úrovně pohonu:

  • Horní mez je dána mechanickou zatížitelností křemenného krystalu.
  • Dolní mez vzhledem k dodávce energie potřebné pro stabilizaci.

Příliš vysoká úroveň pohonu urychluje stárnutí a drift, příliš nízká zhoršuje chvění a chování při rozběhu.

Technický význam:

  • Na začátku je kmitání velmi malé a roste exponenciálně.
  • Stacionární úroveň pohonu vyplývá z rovnováhy mezi zesílením a ztrátami.
  • Příliš vysoká úroveň pohonu může poškodit křemen, příliš nízká úroveň pohonu ztěžuje rozběh.

Klíčové sdělení:
Správně dimenzovaný oscilátor se rychle rozbíhá a provozuje krystal v přípustném rozsahu výkonu.

5 Parazitické kapacity a jejich účinky

(obrázek dole uprostřed)

Parazitní kapacity jsou způsobeny

  • vývody integrovaného obvodu (obvykle 1 - 3 pF)
  • vodivé stopy (≈ 0,5 - 2 pF)
  • Pájecí plošky a pouzdro

Tyto kapacity:

  • zvyšují efektivní kapacitu zátěže
  • snižují velikost -Rneg
  • posunou optimální pracovní bod

Zvláště kritické jsou konstrukce s nízkým specifikovaným CL, protože parazitní efekty zde mají silný procentuální vliv. V aplikacích napájených z baterií jsou krystaly SMD s nízkými zatěžovacími kapacitami obvykle specifikovány příslušnými výrobci integrovaných obvodů. MHz krystal typ. 8 pF. 32,768 kHz krystal do 4 pF. V takových aplikacích je vhodné zvolit toleranci externích kapacit obvodu C₁ a C₂ max. 1 %. Tím lze výrazně omezit parazitní vlivy na pracovní frekvenci křemene.

Technický význam:

  • Parazitní kapacity nechtěně zvyšují efektivní kapacitu zátěže.
  • Ovlivňují frekvenci krystalu, dobu přechodové odezvy a spolehlivost a také zápornou odporovou rezervu.
  • Zvláště kritické jsou u krystalů s nízkým CL (< 10 pF).

Klíčové sdělení:
Při dimenzování zátěžových kondenzátorů/kapacit vnějších obvodů je třeba vždy brát v úvahu parazitní kapacity.

6. vliv uspořádání na stabilitu oscilátoru

(obrázek vpravo dole)

Tento schematický obrázek ukazuje doporučené zásady uspořádání. Uspořádání desky plošných spojů má větší vliv na chování krystalů v obvodu, než se často předpokládá.

Technický význam:

  • Připojte krystal a zátěžové kondenzátory v těsné blízkosti integrovaného obvodu.
  • Krátké, symetrické stopy
  • Žádné signály nebo zemnící roviny pod krystalem.
  • Vyhrazené, čisté zemní vedení

Klíčové sdělení:
Špatné uspořádání může způsobit, že i optimálně zvolený krystal bude nepoužitelný.

7. shrnutí:

Obrázek ilustruje, že funkce krystalového oscilátoru závisí nejen na samotném krystalu, ale také na interakci mezi oscilátorem IC, ESR, kapacitou zátěže, parazitními efekty a uspořádáním.

Pro robustní konstrukci oscilátoru musí být splněny následující podmínky:

  • Křemen ss nízkým ESRvyberte
  • aby byla zajištěna dostatečná rezerva záporného odporu
  • realisticky vypočítejte zatěžovací kapacitu
  • Důsledně optimalizujte rozložení
    .

Klíčové sdělení:

Křemen by měl nejen splňovat specifikaci IC, ale měl by být výrazně nižší, aby spolehlivě kompenzoval vlivy procesu, teploty a stárnutí.

Nebo jednoduše zavolejte našim specialistům. Poskytneme vám plnou podporu při návrhu. Váš úspěch je naším cílem!

Telefonní kontakt

Naši odborníci na frekvenci jsou vám k dispozici

Zavolejte nyní

Napište nám

Pošlete nám e-mail - rádi vám pomůžeme.

Napište nám nyní
Webshop